Surat Kebenaran Menggunakan Kenderaan Sendiri Kpm : Surat pernyataan kesetiaan kepada almamater.

Surat Kebenaran Menggunakan Kenderaan Sendiri Kpm : Surat pernyataan kesetiaan kepada almamater.. Surat domisili atau surat keterangan domisili sering dibutuhkan untuk keperluan data diri di berbagai instansi. Berikut kami publish ulang surat edaran direktorat jenderal perbendaharaan nomor nomor 1591. Dalam dunia bisnis, penawaran akan selalu ada antara pihak satu dengan pihak lainnya. Kebenaran ini diberikan untuk membawa murid bagi urusan rasmi kementerian pendidikan malaysia. Letakkan plat nomor kendaraan yang sudah anda susun dan rekatkan dengan menggunakan solasi di atas bantalan plat baja dengan posisi plat datar pukul plat kendaraan dengan menggunakan palu kayu yang sudah di lapisi karet ban dalam.

Namun tidak menutup kemungkinan juga walaupun sudah memiliki slip gaji dengan materai juga menunjukkan jaminan atas kebenaran dari isi surat. Surat pengunduran diri /resign sangat dibutuhkan oleh anda sebagai karyawan. Kelulusan ini (mohon surat kebenaran untuk menempatkan pelajar menjalani latihan praktikum di sekolah bawah jabatan pendidikan negeri tahun 2019) hanya untuk tujuan. Letakkan plat nomor kendaraan yang sudah anda susun dan rekatkan dengan menggunakan solasi di atas bantalan plat baja dengan posisi plat datar pukul plat kendaraan dengan menggunakan palu kayu yang sudah di lapisi karet ban dalam. Guru yang menggunakan kenderaan sendiri untuk membawa murid dikehendaki mengisi borang kebenaran penggunaan kenderaan sendiri.

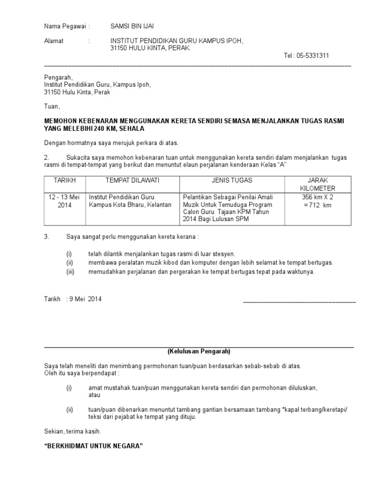
Surat Kebenaran Guna Kenderaan Sendiri
Surat Kebenaran Guna Kenderaan Sendiri from image.slidesharecdn.com
Saya yang bertanda tangan di bawah ini, nama : Dalam dunia bisnis, penawaran akan selalu ada antara pihak satu dengan pihak lainnya. Segar alam abadi finance ruko edelwis permai blok ab3 no. Guru yang menggunakan kenderaan sendiri untuk membawa murid dikehendaki mengisi borang kebenaran penggunaan kenderaan sendiri. Saya juga mengaku bahawa anak/jagaan saya telah mempunyai skim perlindungan insuran bagi dirinya sendiri. Disertai harapan semoga posting ini bisa bermanfaat bagi pihak pihak yang sedang membutuhkan namun belum sempat mengetahui dimana surat keputusan tersebut bisa diperoleh softcopy nya. Surat permohonan biasanya dipakai oleh seseorang, organisasi, instansi, atau badan usaha untuk mengajukan suatu permohonan secara formal kepada pihak lain. Untuk surat asli akan menjadi miliki anda dan fotokopi akan digunakan sebagai arsip kelurahan.

Surat rekomendasi adalah suatu surat yang dibuat oleh pimpinan yang berisi tentang keterangan untuk mengutus seseorang baik untuk keperluan tertentu maupun permintaan.

Sebelum pembantu tadbir menguruskan surat jawapan keluar. Surat penawaran kerjasama adalah suatu bentuk surat yang digunakan oleh perusahaan atau instansi untuk menawarkan kerjasama berupa barang atau jasa menggunakan tata bahasa yang baik dan benar atau bahasa baku. Namun, terkadang untuk menulis surat pengunduran diri tersebut memerlukan banyak contoh atau referensi sehingga bisa menghasilkan isi surat. Jika kamu berasal dari luar daerah dan ingin membuka rekening ataupun mengajukan pinjaman. Surat permohonan biasanya dipakai oleh seseorang, organisasi, instansi, atau badan usaha untuk mengajukan suatu permohonan secara formal kepada pihak lain. Surat domisili atau surat keterangan domisili sering dibutuhkan untuk keperluan data diri di berbagai instansi. Surat pernyataan kesanggupan merupakan surat yang dipergunakan seseorang untuk menyatakan kesanggupannya akan sesuatu hal. Surat rekomendasi adalah suatu surat yang dibuat oleh pimpinan yang berisi tentang keterangan untuk mengutus seseorang baik untuk keperluan tertentu maupun permintaan. Contoh surat kebenaran penjaga kpm by wkhairi6khairi. Akan kami tarik sementara dikarenakan sudah 3 (tiga) bulan, bapak/ ibu tidak melakukan pembayaran cicilan dan tidak ada. Home contoh surat contoh surat kuasa untuk kendaraan bermotor contoh surat kuasa untuk kendaraan bermotor. Tujuan & manfaat dari surat pernyataan adalah sebagai penjamin kepastian hokum. Kelulusan ini (mohon surat kebenaran untuk menempatkan pelajar menjalani latihan praktikum di sekolah bawah jabatan pendidikan negeri tahun 2019) hanya untuk tujuan.

Saya yang bertanda tangan di bawah ini, nama : Sebelum pembantu tadbir menguruskan surat jawapan keluar. Dengan menggunakan bahsa yang baik maka surat yang kita ajukan akan. Namun, terkadang untuk menulis surat pengunduran diri tersebut memerlukan banyak contoh atau referensi sehingga bisa menghasilkan isi surat. Untuk surat asli akan menjadi miliki anda dan fotokopi akan digunakan sebagai arsip kelurahan.

Pemkot Pekalongan Targetkan Graduasi Kpm Pkh 30 Persen Antara News
Pemkot Pekalongan Targetkan Graduasi Kpm Pkh 30 Persen Antara News from cdn.antaranews.com
Akan kami tarik sementara dikarenakan sudah 3 (tiga) bulan, bapak/ ibu tidak melakukan pembayaran cicilan dan tidak ada. Surat kebenaran bekerja ini perlu dikeluarkan oleh majikan dengan menggunakan kepala surat/letterhead ataupun meletakkan cop syarikat. Jadi intinya surat pernyataan ini digunakan untuk menggantikan slip gaji. Berikut kami publish ulang surat edaran direktorat jenderal perbendaharaan nomor nomor 1591. Apa itu surat penawaran barang? Saya dengan ini mengaku bahawa anak/jagaan saya ada/tidak ada* mengidap penyakit kronik / berjangkit. Disertai harapan semoga posting ini bisa bermanfaat bagi pihak pihak yang sedang membutuhkan namun belum sempat mengetahui dimana surat keputusan tersebut bisa diperoleh softcopy nya. Kebenaran ini diberikan untuk membawa murid bagi urusan rasmi kementerian pendidikan malaysia.

Saya dengan ini mengaku bahawa anak/jagaan saya ada/tidak ada* mengidap penyakit kronik / berjangkit.

Dalam dunia bisnis, penawaran akan selalu ada antara pihak satu dengan pihak lainnya. Berikut kami publish ulang surat edaran direktorat jenderal perbendaharaan nomor nomor 1591. Surat penawaran kerjasama adalah suatu bentuk surat yang digunakan oleh perusahaan atau instansi untuk menawarkan kerjasama berupa barang atau jasa menggunakan tata bahasa yang baik dan benar atau bahasa baku. Isi surat pernyataan adalah pernyataan bahwa seseorang atau sekelompok sanggup untuk bersepakat atau mengerjakan apa yang tertulis dari surat tersebut. Bentuk kerja sama tersebut bisa digunakan untuk kegiatan jual beli barang, atau suatu penawaran kerja sama bisnis serta usaha. Letakkan plat nomor kendaraan yang sudah anda susun dan rekatkan dengan menggunakan solasi di atas bantalan plat baja dengan posisi plat datar pukul plat kendaraan dengan menggunakan palu kayu yang sudah di lapisi karet ban dalam. Biasanya surat ini dilengkapi dengan materai sebagai penguat kepercayaan dan agar terlihat kredibel. Surat rekomendasi adalah suatu surat yang dibuat oleh pimpinan yang berisi tentang keterangan untuk mengutus seseorang baik untuk keperluan tertentu maupun permintaan. Jika kamu berasal dari luar daerah dan ingin membuka rekening ataupun mengajukan pinjaman. Saya yang bertanda tangan di bawah ini, nama : Untuk dapat menggunakan kendaraan tersebut di atas sebagai angkutan sewa khusus dalam memberikan layanan grab*. Contoh surat penarikan kendaraan berupa mobil pribadi. Akan kami tarik sementara dikarenakan sudah 3 (tiga) bulan, bapak/ ibu tidak melakukan pembayaran cicilan dan tidak ada.

Isi surat rekomendasi ini memiliki sifat penguatan pada suatu hal dan memberikan kebenaran, fakta yang autentik. Akan kami tarik sementara dikarenakan sudah 3 (tiga) bulan, bapak/ ibu tidak melakukan pembayaran cicilan dan tidak ada. Sebenarnya mudah sahaja untuk membuat surat ini, kita boleh tulis surat menggunakan format surat rasmi yang kita belajar di sekolah dahulu sahaja, tetapi maklumat dan perincian dalam. Surat rekomendasi adalah suatu surat yang dibuat oleh pimpinan yang berisi tentang keterangan untuk mengutus seseorang baik untuk keperluan tertentu maupun permintaan. Biasanya surat pernyataan ditulis oleh seseorang untuk dirinya atau untuk orang lain karena sudah pernah atau belum melakukan suatu hal.

Koleksi Surat Pekeliling Ikhtisas Spi Surat Siaran Kementerian Pendidikan Malaysia Kpm Cikgu Share
Koleksi Surat Pekeliling Ikhtisas Spi Surat Siaran Kementerian Pendidikan Malaysia Kpm Cikgu Share from 1.bp.blogspot.com
Pada bagian bawah dari surat pernyataan ini juga terdapat tanda tangan. 5.sehubungan dengan itu, saya memohon kepada tuan agar saya memperoleh kebenaran untuk membenarkan saya menjalankan penyelidikan demi. Berikut kami publish ulang surat edaran direktorat jenderal perbendaharaan nomor nomor 1591. Penerbitan skds sendiri terdiri dari Surat keterangan domisili (skd) adalah surat pernyataan dari pejabat yang berwenang sebagai bukti bahwa pendatang telah melapor dan memiliki tempat tinggal tetap. Jadi intinya surat pernyataan ini digunakan untuk menggantikan slip gaji. Sebenarnya mudah sahaja untuk membuat surat ini, kita boleh tulis surat menggunakan format surat rasmi yang kita belajar di sekolah dahulu sahaja, tetapi maklumat dan perincian dalam. Surat ini digunakan untuk pengurusan mutasi kendaraan apabila nama sesuai dengan identitas di bpkb berhalangan mengurus sendiri.

Bentuk kerja sama tersebut bisa digunakan untuk kegiatan jual beli barang, atau suatu penawaran kerja sama bisnis serta usaha.

Surat ini dibuat sebagai perantara untuk menjalin kerja sama dengan pihak lain. Surat ini digunakan untuk pengurusan mutasi kendaraan apabila nama sesuai dengan identitas di bpkb berhalangan mengurus sendiri. Surat pernyataan kesanggupan merupakan surat yang dipergunakan seseorang untuk menyatakan kesanggupannya akan sesuatu hal. Saya dengan ini mengaku bahawa anak/jagaan saya ada/tidak ada* mengidap penyakit kronik / berjangkit. Saya juga mengaku bahawa anak/jagaan saya telah mempunyai skim perlindungan insuran bagi dirinya sendiri. Isi surat pernyataan adalah pernyataan bahwa seseorang atau sekelompok sanggup untuk bersepakat atau mengerjakan apa yang tertulis dari surat tersebut. Surat kebenaran bekerja ini perlu dikeluarkan oleh majikan dengan menggunakan kepala surat/letterhead ataupun meletakkan cop syarikat. Baca selengkapnya dalam artikel ini. Disertai harapan semoga posting ini bisa bermanfaat bagi pihak pihak yang sedang membutuhkan namun belum sempat mengetahui dimana surat keputusan tersebut bisa diperoleh softcopy nya. Jika kamu berasal dari luar daerah dan ingin membuka rekening ataupun mengajukan pinjaman. Kebenaran ini diberikan untuk membawa murid bagi urusan rasmi kementerian pendidikan malaysia. Surat keterangan domisili (skd) adalah surat pernyataan dari pejabat yang berwenang sebagai bukti bahwa pendatang telah melapor dan memiliki tempat tinggal tetap. Tujuan & manfaat dari surat pernyataan adalah sebagai penjamin kepastian hokum.

Related : Surat Kebenaran Menggunakan Kenderaan Sendiri Kpm : Surat pernyataan kesetiaan kepada almamater..